Skip to content
+387 30 590 143os.kacuni@gmail.com
Osnovna škola Kaćuni

Osnovna škola Kaćuni

Dobrodošli

  • Početna
  • Oglasna tabla
  • Aktuelnosti
  • Kontakt
  • O nama
Osnovna škola Kaćuni

Osnovna škola Kaćuni

Dobrodošli

  • Početna
  • Oglasna tabla
  • Aktuelnosti
  • Kontakt
  • O nama
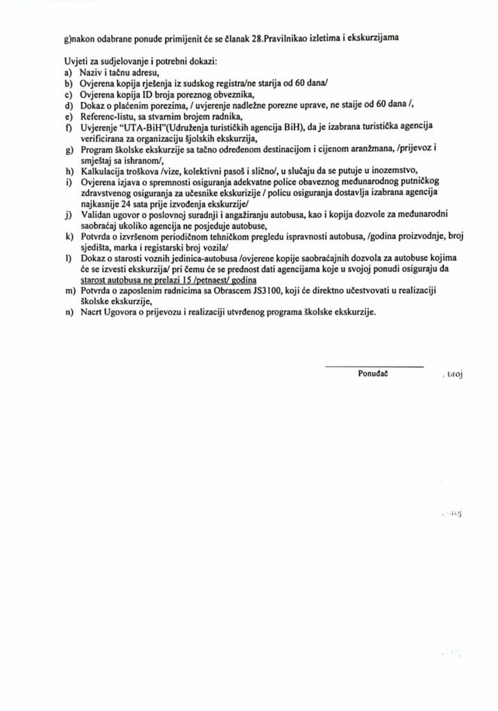
JAVNI POZIV za prikupljanje ponuda za organizovanje izleta
PočetnaOglasna tablaJAVNI POZIV za prikupljanje ponuda za organizovanje izleta
Oglasna tabla
by oskacuni 12 veljače, 2024 0 Comments

JAVNI POZIV za prikupljanje ponuda za organizovanje izleta

oskacuni

SPISAK KANDIDATA KOJI SU POLOŽILI PISMENI DIO ISPITA

Prev

OBAVIJEST o rezultatima odabira ponude za organizovanje školskih izleta učenika IX razreda

Next

Odgovori Otkaži odgovor

Vaša adresa e-pošte neće biti objavljena. Obavezna polja su označena sa * (obavezno)

Povezano

Oglasna tabla

SPISAK  KANDIDATA MEĐU KOJIMA SE PROVODI IZBORNI POSTUPAK PO JAVNOM OGLASU ZA PRIJEM RADNIKA U OŠ KAĆUNI OD 28.02.2024.GODINE

View Details 11 ožujka, 2024
Oglasna tabla

SPISAK  KANDIDATA KOJI SU POLOŽILI PISMENI DIO ISPITA ODRŽAN DANA 17.10.2024.GODINE

View Details 17 listopada, 2024

Posljednje

  • Javni poziv za prikupljanje ponuda za organizovanje izleta
  • Obavijest o rezultatima odabira ponuda za organizovanje školske ekskurzije za učenike IX razreda
  • JAVNI POZIV za prikupljanje ponuda za organizovanje ekskurzije
  • Spisak kandidata među kojima se provodi izborni postupak po Javnom oglasu od 17.2.2026.
  • Javni oglas za prijem u radni odnos

Kategorije

  • Aktuelnosti
  • Oglasna tabla

Osnovna škola Kaćuni

  • Email: os.kacuni@gmail.com
  • Phone: +387 30 590 143
Poveznice
  • Početna
  • Oglasna tabla
  • Aktuelnosti
  • Kontakt
  • O nama
  • Početna
  • Oglasna tabla
  • Aktuelnosti
  • Kontakt
  • O nama

Osnovna škola Kaćuni © All Rights Reserved.

Copyright © Osnovna škola Kaćuni. Developed By Good Looking Themes. Powered by WordPress.